Onderzoek
Staken preventieve cardiovasculaire medicatie bij laagrisicopatiënten
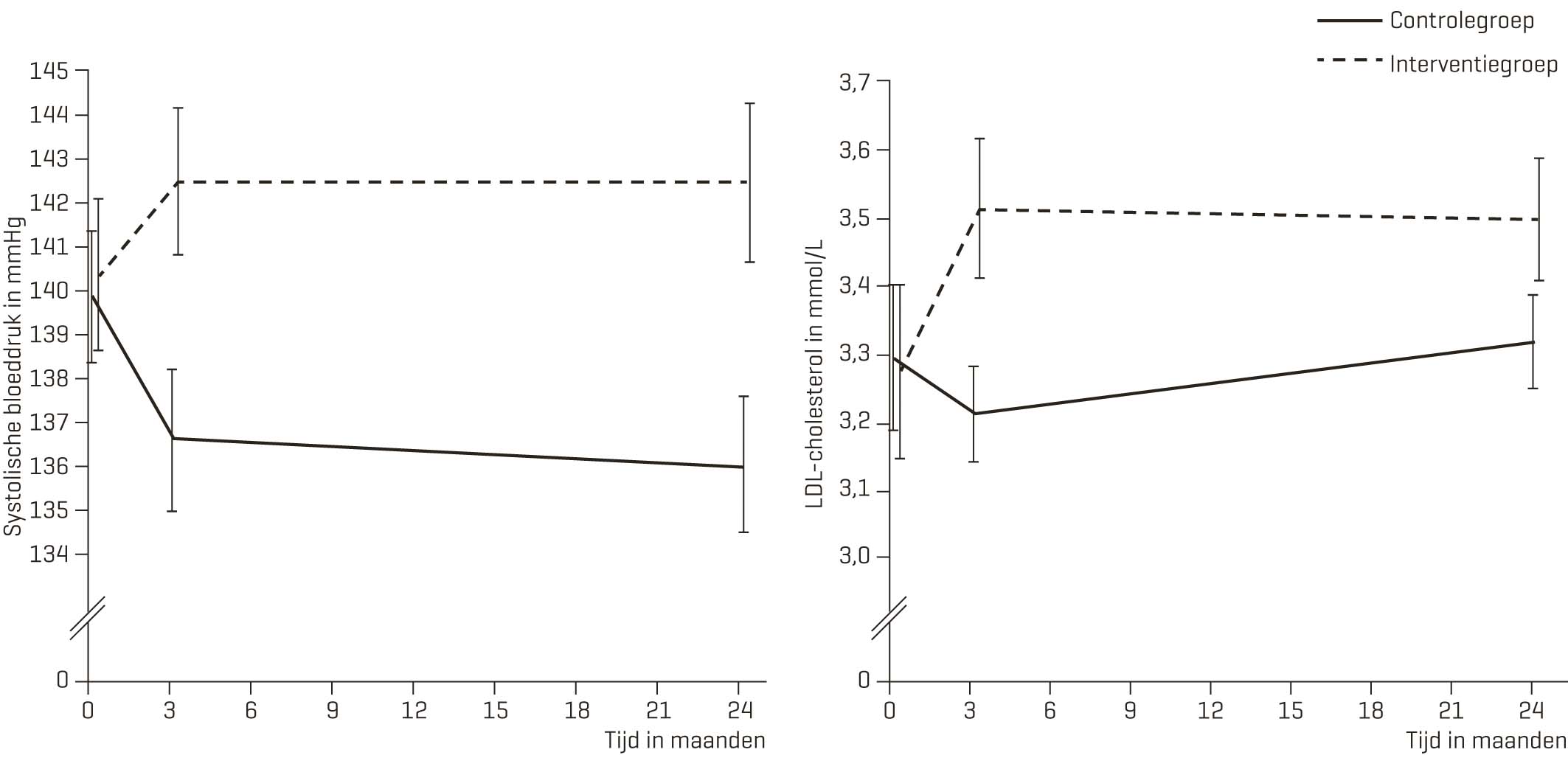
Uit eerder onderzoek is gebleken dat ongeveer 60% van de patiënten die medicatie gebruiken voor primaire preventie van hart- en vaatziekten (HVZ), een laag berekend tienjaars-HVZ-risico heeft volgens de NHG-Standaard Cardiovasculair risicomanagement (CVRM). Strikt genomen hadden deze patiënten volgens de huidige richtlijnen niet hoeven starten met antihypertensiva en/of lipideverlagende medicatie. Ze waren bijvoorbeeld ooit gestart met medicatie na hypertensie in de zwangerschap, bij pre-operatieve hypertensie of bij hypertensie gemeten bij klachten van hoofdpijn. In de praktijk leidt dit nogal eens tot de vraag of deze medicatie inderdaad overbodig is en/of de patiënt veilig zou kunnen stoppen. Hoewel veel artsen zich ervan bewust zijn dat medicatiegebruik bij laagrisicopatiënten geen meerwaarde heeft, weerhouden angst voor de negatieve effecten van het staken en het gebrek aan wetenschappelijke onderbouwing hen ervan om een stoppoging te ondernemen.
Gratis verder lezen?
H&W biedt geïnteresseerden de mogelijkheid om één artikel per 2 maanden gratis te lezen. Ben je geïnteresseerd in dit artikel? Voer je e-mailadres in en ontvang het artikel gratis in je inbox.
Door gebruik te maken van dit aanbod ga je akkoord met de privacyverklaring en ontvang je per aanvraag maximaal 3 e-mails van H&W.
Abonnement afsluiten?
- Onbeperkt toegang tot alle artikelen
- 11 x tijdschrift Huisarts & Wetenschap
- Ontvang elke week de H&W-nieuwsbrief
- Beluister wekelijks de H&W Podcast
- Draag vanuit jouw expertise bij aan artikelen, samen met andere artsen en onderzoekers
Kies je abonnement
Al abonnee of NHG-lid? Log hier in