Onderzoek
Acuut loopoor bij kinderen met trommelvliesbuisjes
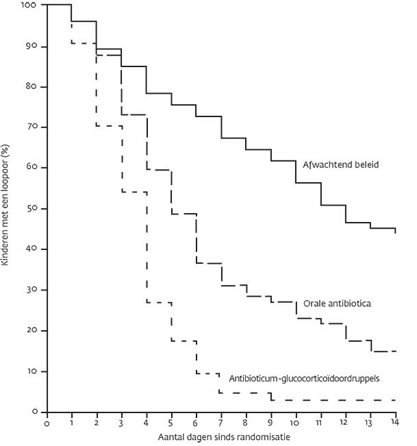
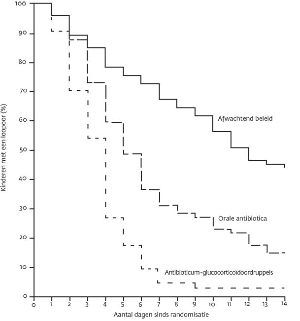
In het jaar na plaatsing van trommelvliesbuisjes krijgt 67% van de kinderen een of meer looporen. Het staat niet vast welke behandeling het meest effectief is in de acute fase: antibiotica(glucocorticoïd)oordruppels, een oraal antibioticum of een afwachtend beleid. Behandeling met…
Gratis verder lezen?
H&W biedt geïnteresseerden de mogelijkheid om één artikel per 2 maanden gratis te lezen. Ben je geïnteresseerd in dit artikel? Voer je e-mailadres in en ontvang het artikel gratis in je inbox.
Door gebruik te maken van dit aanbod ga je akkoord met de privacyverklaring en ontvang je per aanvraag maximaal 3 e-mails van H&W.
Abonnement afsluiten?
- Onbeperkt toegang tot alle artikelen
- 11 x tijdschrift Huisarts & Wetenschap
- Ontvang elke week de H&W-nieuwsbrief
- Beluister wekelijks de H&W Podcast
- Draag vanuit jouw expertise bij aan artikelen, samen met andere artsen en onderzoekers
Kies je abonnement
Al abonnee of NHG-lid? Log hier in