Zoeken
Zoeken
10 zoekresultaten
-
-
Wat doen huisartsen bij een vermoeden van kindermishandeling?
-
Complexer dan huisartsgeneeskunde kun je het niet krijgen
-
Vermoeden van kindermishandeling in de huisartsenpraktijk: hoe komt het tot stand en wat gebeurt er daarna?
-
Hanteer de Witte Raven-aanpak
-
Diagnostisch denken over alledaagse ziekten
-
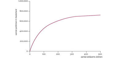
Zeldzame ziekten: een onmogelijke diagnostische opgave?
-
Hoe pluis is het niet-pluisgevoel?
-
Dokters met speurneuzen
-
Klinisch redeneren, een feest der herkenning