Nascholing
Zeldzame ziekten: een onmogelijke diagnostische opgave?
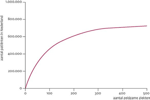
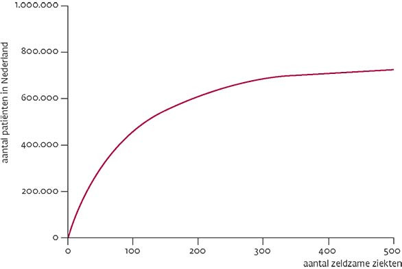
Zeldzame ziekten zijn ziekten die per definitie een prevalentie hebben van minder dan 0,5 per 1000 inwoners. De gemiddelde huisarts ziet in zijn hele carrière dan ook maar 1-2 keer een patiënt met die ene specifieke zeldzame aandoening. Toch ziet u vaker een patiënt met…
Gratis verder lezen?
H&W biedt geïnteresseerden de mogelijkheid om één artikel per 2 maanden gratis te lezen. Ben je geïnteresseerd in dit artikel? Voer je e-mailadres in en ontvang het artikel gratis in je inbox.
Door gebruik te maken van dit aanbod ga je akkoord met de privacyverklaring en ontvang je per aanvraag maximaal 3 e-mails van H&W.
Abonnement afsluiten?
- Onbeperkt toegang tot alle artikelen
- 11 x tijdschrift Huisarts & Wetenschap
- Ontvang elke week de H&W-nieuwsbrief
- Beluister wekelijks de H&W Podcast
- Draag vanuit jouw expertise bij aan artikelen, samen met andere artsen en onderzoekers
Kies je abonnement
Al abonnee of NHG-lid? Log hier in